特集2 なぜ危険? 高血圧 「血管を大切に」が長生きの秘けつ 健康状態を記録し、健康の主権者に
![]() |
| 清水 二 埼玉協同病院内科 |
心臓から押し出される、酸素がいっぱい詰まった血液を運ぶ管を動脈と呼びます。手首で脈をとれますか? トクトクと、脈打っているのが動脈です。
血圧とは、血液が血管(動脈)を押し広げようと血管の壁を押す力のことです。心臓は繰り返し縮んだり広がったりするため、血管の壁にかかる力も変わり、最高血圧と最低血圧が生まれます。
血圧は心臓の血液を押し出す力と、血管の縮まろうとする力で決まります。このバランスは、自律神経やホルモンによってコントロールされています。
“サイレントキラー”
脈は1日で約10万回打ちます。仮に100年生きると、一生で10万回/日×365日/年×100歳=36億5000万回です。ゴム管だととっくにひび 割れてしまいそうですね。ヒトの血管も長い期間をかけて血管の弾力がなくなり、硬くなっていきます。血管の内側にコレステロールや血液の固まりがつくなど して、ひどくなると破れて出血したり、詰まったりします。これを動脈硬化と呼びます。
高血圧は血管に余計な圧力をかけるため、動脈硬化を早めてしまうのです。そして脳出血や血管が詰まって起こる脳梗塞・心筋梗塞、脳血管障害による痴呆などの原因になってしまうのです。
「高血圧はサイレントキラー(沈黙の殺人者)」とも呼ばれます。高血圧は症状がほとんどない場合が多く、気づかないうちに病状がすすみ、ある日突然亡く なることもあります。働き盛りの元気に見える人でも油断できません。両親や兄弟に脳卒中や心筋梗塞などで倒れた方がいる人は、とくに注意が必要です。
ヒトは「血管とともに老いる」といいます。ヒトの体は「60兆個の細胞からできている」ともいわれ、すべての細胞が元気に生きていくためには、体中に常 に新鮮な血液が行きわたっていなければなりません。新鮮な血液が流れる動脈を大切にすることが、若さを保つ秘けつです。
家庭血圧を測ってみよう
私は診察のとき、水銀血圧計で測っています。医師が測ったのが正確だと信じられているからです。しかし人前で緊張しやすい人などは高くなってしまい、普 段の血圧とはまったく違う結果が出ることもあります。逆に、診察時に血圧が一番下がっている患者さんもいることがわかっています(逆白衣高血圧)。
そこで私は、上腕で測る自動血圧計で、朝起きた時に測ることをお勧めしています。血圧日誌(健康習慣チェック表)を渡し、毎日血圧をつけてもらっています。
看護師や先生の前で測った血圧ではなく、自宅や職場などで測った血圧を「家庭血圧」といいます。医師は「家庭血圧」をその人のふだんの血圧として見ることになります。大切な指標です。
最近は成人病の若年化も指摘されています。子どもも交えて、家族みんなで測ってみましょう。
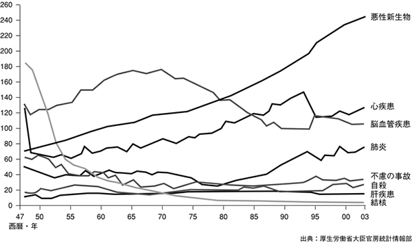
| 主な死因別に見た死亡率の年次推移(人口10万対) |
![]() |
| 日 本人の死亡原因の1位は悪性新生物(がん)ですが、2位が心臓病、3位が脳血管疾患(脳出血・脳梗塞など)です。2位と3位はいずれも血管に障害が起きる 病気。高血圧が大きな影響を与える病気で、2つをあわせると死因のトップといっても過言ではありません。高血圧患者は推定3000万人以上にものぼるとい われています。 |
| 血圧チェックシートの例 |
![]() |
判定値(目標血圧)は
高血圧の判定基準を、私は次のように考えています。
(1)「家庭血圧」として130―85mmHg未満を目標とし、至適血圧(120―80未満)に近づけましょう。
(2)小児は125―70mmHg未満を目標としましょう。
(3)高齢者は140―90mmHg未満を目標としましょう。
「え? こんなに低いの?」と驚く人もいるかもしれません。でも、長寿を達成するにはこのくらいでないとダメなようです。
また、血圧は同じ1日の間でも変わります。さまざまな機会に血圧を測りましょう。
実際に測ってみると、起きたとき、寝る前、仕事場で、食事の前と後、運動の前と後、入浴の前と後など、意外なときに血圧が上がったり下がったりすること がわかると思います。どんなときに血圧が上がったり下がったりするのか、注意しましょう。
血圧が上がる習慣は悪習慣です。たとえば、喫煙後や深酒の翌朝、夜遅くまで働いたときなどは血圧が上がりますね。逆に、ウオーキングや水中歩行などの運 動後は血圧が下がります。これはよい習慣だといえます。
血圧が上がる時はどんなときか、生活上の問題点を自分で発見しましょう(不適切行動の発見)。
また、本人の生活習慣改善の成果を血圧で知ることも大事です。「塩分を控え、体重を減らしたら血圧が下がった」などがこれにあたります。血圧は心身の状態を反映し、健康のバロメーターにもなるのです。
予防で大事な生活習慣
高血圧の予防で大事なのは、労働・生活習慣の改善です。医療生協は「8つの生活習慣」を提唱しています。とくに次の点を意識しましょう。
(1)塩分を控える 高血圧の予防では、とくに塩分を控えた食事が奨励されています。とりわけ高齢者で効果があるようです。
塩分をとりすぎると体内に水分がたまり、血液の量が増加するため、血圧が高くなります。医療生協でも長らく減塩にとりくんできましたが、残念ながら組合 員の1日尿中塩分量もまだ10g以下になっていません。まず7~8gを目標にしましょう。日本高血圧学会のガイドラインでは6g以下を目標にしています。
医療生協では、尿につけると色が変化して塩分の摂取量がわかる、尿中塩分測定用のテープも販売しています。病院や診療所などに相談し、家庭や健康づくりの仲間たちと測ってみてください。
(2)肥満を防ぐ 男性若年者、中年以降の女性の肥満が増え、後でも述べるメタボリックシンドロームが話題になっています。とくに中心性肥満(内臓脂肪 型肥満)の解消が、もう一つの健康づくりのポイントです。
(3)禁煙 たばこが動脈硬化の原因になるだろう、ということは喫煙後の血圧自己測定でも実感できるでしょう。がん(肺がん)、肺気腫なども招きます。禁煙は家族、職場ぐるみでとりくみましょう。
(4)過度の飲酒を避ける 飲酒はお祝いの席で楽しむ程度にすることをお勧めしています。生活のストレス解消、睡眠薬代わりに飲むと酒量が増えて危険です。
(5)適度な運動 運動には2種類あります。ウオーキングや水中歩行などの、有酸素運動と呼ばれるものと、転倒予防で強調される筋力アップを目指した運 動です。有酸素運動は血圧を下げるホルモンの分泌を促し、筋力アップの運動は第2の心臓といわれる下肢の筋肉を増強し、心臓の働きを助けます。また、血糖 値やコレステロールを下げたり、肥満防止やストレス解消にもつながります。
(6)過労・ストレスを避け、十分な睡眠を 過労やストレスがあると交感神経の働きが活性化し、心臓の動きが強まり、血圧が上がります。過度の肉体的、精神的ストレスは「過労死」につながります。
働くことでの疲労度を測るには、中央労働災害防止協会の「労働者の疲労蓄積度自己診断チェックリストhttp://www.jaish.gr.jp/td_chk/tdchk_top.html)が便利です。利用してみてください。
|
医療生協の8つの生活習慣(高齢者版) 1)生活リズムを整え快適な睡眠をとる 2)社会参加をすすめ、ボランティア活動などにとりくむ 3)禁煙にとりくむ 4)過度の飲酒をしない 5)適度な運動を定期的につづける 6)低塩分、低脂肪のバランスよい食事をとる 7)間食を控え、朝食をとる規則正しい食生活 8)できるだけ多くの歯を保ち、かむ機能を維持する |
動脈硬化の“死の6重奏”
動脈硬化をすすめる危険因子は、高血圧以外にもあります。私は、動脈硬化がすすむ危険因子を、まとめて「死の6重奏」と呼んでいます。
死の6重奏とは高血圧、糖尿病、高脂血症、肥満、喫煙、過労です。重なれば重なるほど動脈硬化の進行を助長します。医療生協・友の会の班会などで健康 チェックをすすめ、他の危険因子がないか年1回は健診で調べましょう。自分があてはまるようなら、高血圧とともに改善・治療しましょう。
また、肥満(中心性肥満)、高血圧、糖尿病、高脂血症が合わさると心臓病のかかりやすさが30倍以上にはねあがることも知られています(メタボリックシンドローム)。
「私の健康づくり目標」を
![]() |
「8つの生活習慣」を続けて、それでも正常な血圧にならなければ、血圧を下げる薬が必要になります。専門家との共同作業のはじまりです。医師と相談して、あなたにあう薬を選んでもらいましょう。
そして薬剤師と相談して、服用した薬を記録する「わたしの薬カード」「お薬手帳」を作り、内服中の薬の性質や副作用も理解しましょう。
血圧のコントロールは「家庭血圧」をもとにすすめるのが基本です。定期受診時には、自宅で測った「血圧日誌」「健康チェック表」を持参して看護婦や医師 に見せ、上手にコントロールできているか確認したり、アドバイスをもらいましょう。
また、健康診断の結果や日ごろの健康チェックをもとに「私の健康づくり目標」を立てて実践しましょう。一例をあげてみます。
■例「私の健康づくり目標」
今年の健康診断では高血圧、喫煙を指摘されました。そこで私の健康づくり目標は次のようにしました。
▽薄味にチャレンジ、禁煙をします。体重を5kg減らします。毎日1万歩を目指します
▽だれと:妻と
▽どのように:自宅で食事をする。駅まで歩く
▽いつまでに:6カ月後の健診までに
健康状態を記録して
血圧はもともと医師が測るもの、とされていた時代がありますが、それはもう過去のことです。誰もが血圧を測れるように広めてきたのが、医療生協や友の会など、共同組織のとりくみです。
全国各地の診療所や病院で「わたしのカルテ」とか「マイカルテ」と呼ばれるとりくみも広まっています。それぞれの病院・診療で少し異なった体裁ですが、 自分に関する健康の記録を自分で整理し綴じておくものです。
自分の健康状態を記録するとりくみを通して、健康づくりがすすんだ経験も寄せられています。ぜひ、みんなで自分の健康状態を記録し、健康の主権者となり、日々の健康づくりにとりくみましょう。
イラスト・井上ひいろ
いつでも元気 2007.6 No.188




