特集2 若い世代にも増加中 「子宮がん」って何?
定期検診で予防・早期発見を
「子宮がん」には2つある
![]() |
|
戸田稔子
島根・松江生協病院女性診療科 |
子宮がんには、子宮の入口(頚部)にできる「子宮頚がん」と、子宮の奥(体部)にできる「子宮 体がん」の2種類があります(図1)。この2つは、原因も、なりやすい年齢も、進行の仕方も、まったく違います。子宮体がんが閉経前後の女性に多いのに対 して、子宮頚がんは若い女性でもかかる可能性が高いがんです。
子宮頚がん、子宮体がんの原因と、検診の大切さについてお話ししましょう。
| 図1 子宮体部と子宮頚部 |
![]() |
子宮頚がん 20~30歳代に急増中!
子宮頚がんは、世界で2番目に多く発生している女性特有のがんです。子宮頚がんは、ほとんどの場合、初期の段階では自覚症状がありません。不正出血や下腹部の痛みなどがあるときには、すでに進行している場合が少なくありません。
最近では20~30歳代の女性で子宮頚がんにかかる人が増えています。日本では、子宮頚がんを発症する人のピークが40歳代(1988年)から30歳代 (1998年)へと若くなっています(図2)。とくに最近の20~30歳代の発生率の増加は著しく、死亡率も若年層で急激に上昇しています。
| 図2 子宮頚がん発生の年齢による変化 |
![]() |
100%予防できる
ただ子宮頚がんは、検診さえ定期的に受ければ、ほぼ100%予防できます。がんになる前の組織の変化(前がん病変)の段階で、検査で発見できるためで す。前がん病変で発見されれば、円錐切除という治療法(病変を円錐状に切り抜く手術)で完治します。体への負担も少なく、子宮をそのまま残せます。治療後 の妊娠や分娩も可能です。
2007年4月にがん対策基本法が施行され、国はがん対策推進基本計画を策定しました。主な目標として、がんによる死亡者の減少、がんの早期発見があげ られています。しかしこれは、子宮頚がんに関しては正しい目標ではありません。子宮頚がん検診はがんを発見するのではなく、前がん病変を発見して、がんに なるのを防ぐ検診だからです。
原因はウイルス
子宮頚がんの原因は、99%以上がHPV(ヒトパピローマウイルス)というウイルスだということがわかっています。HPVはとてもありふれたウイルスで す。セックスの経験がある女性なら、その回数、期間、人数にかかわらず、だれでも感染している可能性があります。感染していても、自覚症状はほとんどあり ません。
HPVには100種類以上のタイプがあり、子宮頚がんの原因となるのは、その中の主に「高リスク型」と呼ばれる、一部のタイプです。また、高リスク型のウイルスに感染した人でも、子宮頚がんを発症する確率は約1000分の1といわれています。
感染から発症まで平均10年
ほとんどの女性が一生に1度はHPVに感染するといわれています。そのうち10人に9人は、免 疫力でウイルスを追い出すため、1~2年で自然に消えます。しかし、ウイルスを排除できず、HPV感染が長期化(持続感染)してしまうケースがあり、子宮 頚部の細胞に変化(異形成)を起こすことがあります(図3)。
異形成を起こしても、多くの場合、免疫力で自然に正常の細胞に戻ります。ところが中には異形成の程度が強くなっていき、さらに進行して、がん細胞に変化 してしまうことがあります。HPVに感染してから子宮頚がんになるまで、平均10年かかるといわれています。
感染したHPVを取り除く治療法はまだありません。そのため、HPVに感染した段階や、細胞が変化を起こした段階で早く気づいて、進行しないかどうか、しっかり見張ることが大切です。
| 図3 HPV感染から子宮頚がんになるまで |
![]() |
若い世代の検診率低く
わが国の子宮頚がん検診は1960年ごろから始まり、1982年に老人保健法で制度化され、当時は「検診先進国」でした。子宮頚がん検診は、受診率が死亡率と相関する唯一のがん検診です。高齢者のがん発生を減少させるなど、検診の有効性がはっきりと確認されています。
HPV感染からがん発症まで平均10年ですから、定期的に検診を受けていれば子宮頚がん(進行がん)で発見されることはほとんどありません。にもかかわ らず、わが国の女性、とくに20~30歳の若い世代に検診の大切さがほとんど理解されていないのが現状です。全体の受診率は23・7%で、諸外国と比べて 極端に低く、いまや「検診後進国」になっています(前ページ、図4)。検診さえ受ければ確実に防げるのに、検診を受けないために、がんが進行してから発見 されることが多いのです。
現在は晩婚化もすすんでいるため、20~30歳代の若い女性も検診を受けて子宮頚がんを予防し、その後の妊娠の能力を保つことが大切です。
| 図4 OECD加盟24か国の子宮頚がん検診受診率(2007年10月発表より抜粋) |
![]() |
細胞診+HPV検査で完璧!
| 図5 細胞診とHPV検査併用による前がん病変発見効果 |
![]() |
子宮頚がんの検査には、細胞の変化をチェックする「細胞診」(一部の細胞をとり、顕微鏡で調べる)と、HPV感染を調べる「HPV検査」があります。
細胞診は、世界中で有効性が認められた検査法で、がんを発見する精度は十分高いものです。しかし前がん病変を発見するとなると十分とはいえず、現実的には25%程度の見落としが起こるといわれています。
そこでおこなわれているのが、HPV検査との併用です。細胞診とあわせて受けることで、前がん病変をより確実に発見できます(図5)。検査法はとても簡 単です。専用の道具で子宮の入口(頚部)を軽くこすって細胞を採るだけです。痛みはほとんどありません。採取した細胞で、細胞診とHPV検査の両方をおこ なうことができます。
細胞診とHPV検査の両方で異常がなければ、子宮頚がんの心配はまずありません。今後も定期的に検診を受けて、子宮頚がんを予防しましょう。
また、HPV検査で「陽性」といわれても、将来子宮頚がんになる危険性をチェックする検査ですので、必ずがんになるわけではありません。細胞診・HPV 検査の結果やその後の再検査・精密検査の必要性は、医師の説明を聞き、指示に従いましょう(図6)。
細胞診とHPV検査を併用した子宮頚がん検診を定期的に受診することは、最も有効な子宮頚がんの予防手段です。現在、施設によっては婦人科検診のオプ ション(追加検査)として細胞診とHPV検査の両方をおこなうところが増えています。しかし、住民検診などの公費検診ではHPV検査をしているところはほ とんどなく、HPV検査は全額自己負担になります。今後、細胞診とHPV検査の併用検診が公費検診として普及されることが望まれます。
| 図6 子宮頚がん検診結果とその後の流れ |
![]() |
子宮体がん ホルモンのバランスが崩れ
| 図8 子宮頚がんと子宮体がんの発生数(2005年日本産科婦人科腫瘍委員会報告) |
![]() |
次に子宮体がん(子宮内膜がん)についてです。
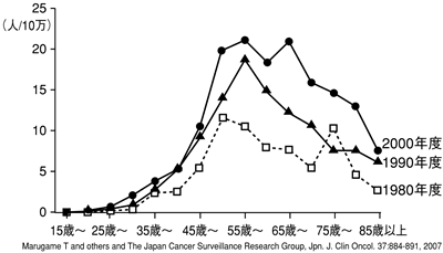
子宮体がんは、子宮の奥(子宮体部)の子宮内膜にできるがんです。年齢別にみた発生率は、40代後半から増加し、50代から60代にピークを迎え、その 後減少します(図7)。近年、子宮体がんは年齢に関係なく増える傾向にあり、発生数も子宮頚がんにせまってきました(図8)。
子宮体がんは、エストロゲン(女性ホルモン)によって促進されるタイプと、エストロゲンに関係なく発生するタイプに分けられます。
証明されている危険因子としては、閉経年令が遅い、出産の経験がない、肥満があげられています。その他にも、糖尿病、高血圧、乳がん・大腸がんの家族がいる、などが発症と関連する危険因子です。
薬剤にも危険因子になるものがあります。乳がんのホルモン療法に使われるタモキシフェンや、更年期障害のホルモン補充療法で使われるエストロゲン製剤の単独使用です。
低用量ピルは子宮体がんになる危険性を下げます。子宮体がんは子宮頚がんと違い、ホルモンのアンバランスによって起こるがんなのです。
| 図7 子宮体がん発生の年齢による変化 |
![]() |
早期発見が大切
他のがんと同様に、子宮体がんも初期のものほど治療後の結果がよいので、早期発見が大切です。
もっとも普通に認められる症状は出血です。しかし、子宮体がんからの出血を不規則な月経と誤解している人もいるようです。とくに、閉経後に少量ずつ長く続く出血がある場合は、子宮体がんの検査を受ける必要があります。
検診などで「子宮がんの検査」という場合、子宮頚がんの検査だけで、子宮体がんの検査を含んでいないことがあり、注意が必要です。子宮体がんは子宮の内側から発生するので、ふつうの子宮頚がんの細胞診検査では見つけられません。
診察では、まず腟から超音波検査をして子宮内膜の厚さを測定します。この検査は、痛みはありません。
子宮内膜の異常を詳しく検査するためには、子宮の奥に細い器具を入れて子宮内膜の細胞または組織をとって細胞診または組織診をおこなう必要があります。この検査は少し痛みがありますが、人によって痛みの強さは異なります。
不正出血、水っぽいおりもの、下腹部の痛みなどがあれば、産婦人科で子宮体がんの検査を受けてください。
子宮体がんと生活習慣病
| 子宮体がん検査も含まれているか確認を |
![]() |
| イラスト・いわまみどり |
少子化が進み、結婚しない女性も増え、妊娠・分娩回数が減少していることが、近年の子宮体がんの増加につながっています。また極端な月経不順も子宮体がんの要因になることがあります。不順が極端な場合は、ホルモン剤で定期的に月経が起きるようにするのがよいでしょう。
生活習慣の欧米化により、メタボリックシンドロームが増加しています。メタボリックシンドロームの診断基準は肥満、糖尿病、動脈硬化、高血圧などです が、これらは奇しくもすべて子宮体がん発生の危険因子なのです。メタボリックシンドロームの予防・治療は、内科だけでなく婦人科にとっても大切なことで、 子宮体がんの発症予防に直結していることを覚えておいてください。
◇
平均寿命が延び、少子化、晩婚化、社会進出などとともに、女性のライフサイクルやライフスタイ ルが変化してきています。これにともない、女性の健康管理方法も変化していくことを理解してください。子宮がんの検診においても正しい知識を持って自己管 理することをお勧めします。
いつでも元気 2009.6 No.212










